こんにちは!
JR静岡駅徒歩3分の中学生専門教室の個別学習Roots.(ルーツ)です。
2026年度(令和8年度)の静岡県公立高校入試が実施されました。
これから受験生になる皆さんにとって、「最新の入試で何が出たのか」を知ることは、志望校合格への第一歩です。
「入試問題は難しい」と不安になっている学生さんもいるかと思いますが、実は「出題のパターン」には明確な傾向があります。
今回のコラムでは、実施されたばかりの2026年度の入試問題をどこよりも早く、分かりやすく解説します!
このような方は必見です!
- 新中学3年生(現中2): 入試本番に向けて、まずは「出題と対策」を知りたい。
- 効率よく勉強したい方: 闇雲に解くのではなく、出題されやすいポイントを絞って対策したい。
- 苦手意識がある方: 確実に点数を稼ぐためのコツを掴みたい。
また、個別学習Roots.では、個別の勉強相談を随時承っております。
ご興味のある方は、お気軽にお問い合わせください。
大問4 空間図形

(1) 空間図形の基本問題
直線BM とねじれの位置にある辺を探す問題です。
直線BM と交わっておらず、平行でもないものがねじれの位置の辺となります。
図4より、辺BM とねじれの位置にある辺は、辺AC , 面辺CD の2つです。
(1)の配点
配点 2点
(2) 三角形の面積比
2つの三角形の面積比を計算する問題です。
図5の△ACD と△MED では、辺AC を底辺と考えたときに高さが共通となります。
高さが共通な三角形では、底辺の長さの比がそのまま面積比となります。
i) 辺AE の長さ
点E は、辺AC 上にあり、AE:EC = 4:3となる点です。
つまり、辺AE の長さは、辺AC を7当分したうちの4つ分ということになります。
したがって、辺AE の長さは、

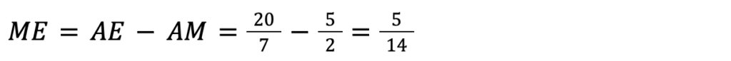
ii) 辺ME の長さ
次に辺ME の長さを考えます。
辺ME は、辺AE から辺AM の長さを引いて計算できます。
したがって、辺ME の長さは、

iii) △ACD と△MED の面積比
上記より、△ACD と△MED の面積比は、

となり、14倍となります。
(2)の配点
配点 2点
(3) 四角錐の体積
問題を解く準備として、問題文に沿って、補助線と各線分の長さを図に記載します。

高さが等しい立体では、底面積の比がそのまま体積比となります。
図6より、△ACD を底面と考えたとき、三角錐ABCD と四角錐BMCDN は高さが等しい立体となります。
したがって、四角錐BMCDN の体積は、△ACD と四角形MCDN の面積比で計算することができます。
i) 三角錐ABCD の体積
最初に、三角錐ABCD の体積から計算します。
三角錐ABCD の高さAH は、三平方の定理より、

したがって、三角錐ABCD の体積は、

ii) 底面の面積比
次に、△ACD と四角形MCDN の面積比を考えます。
AM =MC 、AN = NDより、中点連結定理からMN =2 cmです。
また、△AMN ∽△ACD であり、上記から相似比は、△AMN :△ACD = CD:MN = 2:1です。
したがって、△AMN と△ACD の面積比は、△AMN :△ACD = 4:1となるので、

iii) 面積比を使った体積の計算
四角形MCDN の面積は、△ACD の面積から△AMN の面積を引くことで計算できるので、上記の面積比を使って、

したがって、四角錐BMCDN の体積は、

(3)の配点
配点 3点

総括:「空間」を「平面」と「比」で攻略する

2026年度の空間図形は、三角錐を題材とした問題でした。
例年通り、基本問題2問(4点)と応用問題1問(3点)の合計7点という構成です。
まずは前半の4点を確実に仕留め、後半の3点でいかに「ひらめき」を生かせるかが勝負の分かれ目となりました。
基本問題での「見落とし」を防ぐ
(1)の「ねじれの位置」にある辺を探す問題は、知識としては基本ですが、入試本番の緊張感の中では焦りから見落としが発生しやすいポイントです。
「同一平面上にない」「平行でない」「交わらない」という3条件を、図の上で指差し確認するくらいの慎重さが求められます。
過去問演習を通じて、ケアレスミスをゼロにする執念を持ちましょう。
難問攻略の鍵は「発想の転換」
(3)の三角錐の体積を求める問題で、手が止まってしまった方も多かったのではないでしょうか。
「体積=底面積×高さ×1/3」という公式に縛られ、高さを直接求めようとすると、今回の設定では行き詰まってしまいます。
ここで重要だったのが、底面の面積比を利用するという発想の転換です。
今回の問題は、(2)の問題が(3)の大きなヒントになっていました。
こういった出題パターンも今後の受験生は活かしていけるよう意識が必要かもしれません。
「見たことのある図形」を探すテクニック
静岡県の入試では、毎年必ず空間図形が出題されます。
一見複雑に見える立体も、切り出してみれば教科書やワークで何度も解いた「相似な図形」や「直角三角形」の組み合わせにすぎません。
・三平方の定理が使えそうな断面を見つける
・中点連結定理が使える相似な図形を探す
こうした「解法の糸口」を見つける練習を積むことで、どんな立体が出題されても動じない実戦力が身につきます。
個別学習Roots.について

個別学習Roots.は、JR静岡駅の南口から徒歩3分の場所にある、個別指導&個別学習教室です。
全ての生徒さんと毎週お話しをしながら、学習計画を作成して、継続的な学習ができる習慣作りをサポートしております。
テスト対策や受験対策のご相談も承っています。
もし、「今の自分を変えたい」、「もっと勉強に取り組みたい」とお考えならば、ぜひ一度体験授業にお越しください。
無料の個別教室説明会も随時承っていますので、お気軽にご相談ください。
お問い合わせ先
電話番号:080-7855-5240
住所:〒422-8061 静岡市駿河区森下町1-39 SOZOSYA森下町ビル2A



